Monday, January 4, 2016

Calculating Orbits: Kepler’s Third Law

Kepler’s Third Law

Kepler’s Third Law relates the period of revolution of a planet, denoted by $T$, to the semimajor axis of the orbit of that planet, denoted by $a$.  The square of $T$ is directly proportional to the cube of $a$.
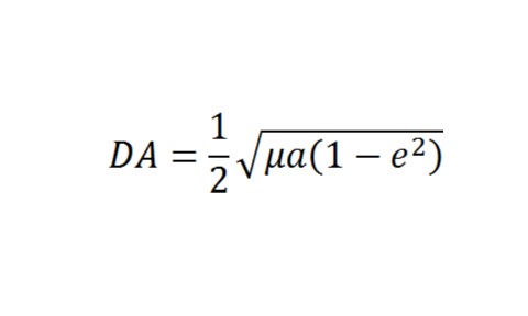
We know that the rate of change the area swept out by a radius is constant so
Our derivation consists of finding the appropriate expressions for $A$ and $DA$.  Recall that
and
We have the final form for $A$ but will have to work a while more on $DA$. In doing this, we will find an expression for $H$ that is more meaningful to the geometry of an ellipse.
Consider the orbit equation derived in a previous section:
In the ellipse below, we have picture the point in the orbit of the planet when $\nu=\frac{\pi}{2}$. This is when the segment $SP$ is perpendicular to the major axis of the ellipse.
Let $p$ be the length of the segment $SP$.  So $p=\frac{H^2}{\mu}$ from the equation for $r$ with $\nu=\frac{\pi}{2}$.
We may compute $p$ another way from the ellipse below:
By the Pythagorean Theorem
and solving this for $p$ gives us
so
Therefore,

and so
Therefore,
so that finally we have Kepler’s Third Law

Sunday, January 3, 2016

Calculating Orbits: Kepler’s First Law

Kepler’s First Law

Kepler’s First Law tells us that planetary orbits are ellipses.  The following derivation, taken from Wiesel, is very clever: it solves a second order differential equation as if by magic.  We begin with our second order differential equation, which is an expression for the acceleration of a planet taken from Newton’s Law of Gravity:
We will now cross each side of this equation on the left with the vector $\vec{H}$:
Consider the left side of this equation and note the following
because $\vec{H}$ is constant with respect to $t$.
Now consider the vector portion of the right hand side
By the bac-cab formula
Clearly, $\vec{r}\cdot\vec{r}=r^2$.  It is also true that $\vec{r}\cdot\vec{r}=rDr$.  This is clear when we resolve $\vec{v}$ into a coordinate system in which $\vec{r}$ lies along one of the axes.  It follows that
Therefore,
It is at this point in the derivation that the god comes out of the machine.  Note
so
which can be written as
Therefore, the vector whose derivative we’ve taken is constant.  Choose the vector $\vec{e}$ so that
and as a consequence
There is yet another god in the machine, however.  Dot both sides of this equation with $\vec{r}$ so that
By the application of the triple scalar product, the left hand side may be transformed as follows

If we let $\nu$ be the angle between $\vec{r}$ and $\vec{e}$, the right hand side becomes
Therefore,
and consequently,

Saturday, January 2, 2016

Calculating Orbits: Kepler's Second Law

Kepler’s Second Law

Our aim is to derive Kepler’s Second Law:
The radius from the sun to the planet sweeps out equal areas in equal times.
To put this in language better suited to mathematical manipulation, let $A$ denote the area swept out from time zero to time $t$.  Then Kepler’s Second Law saws $DA$ is a constant.  We shall show that not only is it a constant but a constant with meaning to physics.
In this derivation, we shall have occasion to use a formula derived from Newton’s Law of Gravity:
The acceleration of a planet is inversely proportional to the square of the distance from the sun and is directed toward the sun.
Mathematically:
or
So
as the angle from $\vec{r}$ to itself is zero and so $\sin \theta =0$.  Thus,
Let us also observe that
So that $\vec{r}\times\vec{v}$ is constant.  We will denote this constant by $\vec{H}$ and note that
where $\vec{L}$ is angular momentum.  We can think of $\vec{H}$ as being angular momentum per unit mass.
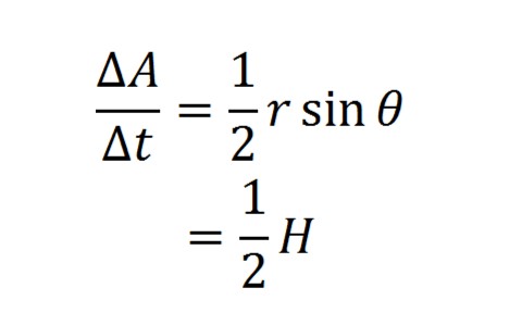
Now consider the following diagram of our two-body system as time $\Delta t$ has elapsed.
For small $\Delta t$
so that the altitude of this triangle is $v\sin \theta$ where $\theta$ is the angle from $\vec{r}$ to $\vec{v}$,  If $\Delta A$ is the area of this triangle, then
so that
where $H$ is the magnitude of $\vec{H}$.
Therefore,

which is Kepler’s Second Law.

Friday, January 1, 2016

Calculating Orbits: Angular Momentum and the Cross Product

Angular Momentum and the Cross Product

The physical concept of angular momentum is a key piece of our approach to the derivation of Kepler’s Laws.  Let us begin our study of angular momentum with a thought experiment. This thought experiment is low-tech enough for you to carry out in your backyard, if you should so desire.
In an ill-fated attempt to teach me the basics of hitting a baseball, my father created the following device:  He put a tennis ball in a sock and tied the sock to the end of a cord.  He then swung it around his head.  Even when he stopped moving his arm, the ball persisted in a roughly circular path for a time.  This persistence was caused by angular momentum.  (We will ultimately replace the ball by a planet and the string by the sun’s gravity.)
There are three things that affect the tennis ball’s angular momentum in this system: its mass; its distance from the center of rotation; its velocity.  Mathematically this is captured in an equation that I will first give and then carefully explain
The variable $\vec{L}$ denotes the angular momentum itself.  Note that it is a vector.  Its direction is the axis of rotation of our tennis ball.  The variable $m$ stands for mass, of course; it will enter into our calculations surprisingly little.  The vector $\vec{r}$ goes from our center of rotation to the tennis ball, as it were.  It will vary in magnitude and direction as it gives us the position of the moving object.  The vector $\vec{v}$ denotes the velocity of our tennis ball.  It is the derivative of $\vec{r}$ with respect to time.
Within this formula, you will notice the symbol $\times$, the cross product.  It is very tempting to give a full treatment of it here, but I will resist that temptation.  Instead, I will give a simple definition; a list of the results we need; and refer the interested reader to any decent calculus text.
Given vectors $\vec{Y}$ and $\vec{Z}$, we define a third vector $\vec{W}$ whose magnitude is equal to
where $\theta$ is the angle from $\vec{Y}$ to $\vec{Z}$.  The vector $\vec{W}$ lies in a line that is mutually orthogonal to $\vec{Y}$ and $\vec{Z}$ and has a sense so that the triple $\vec{Y},\vec{Z},\vec{W}$ preserves the right hand rule.
Let us now consider vectors $\vec{A},\vec{B},\vec{C}$.  We will need the following pair of formulas in the sequel.  The first is called bac-cab:
where $\cdot$ is the familiar dot product.  The second is called the scalar triple product:
We will also be taking derivatives.  I will, for the most part, eschew both the Newtonian and Leibnizian notation.  Instead, $D$ will denote the taking of a derivative with respect to time.  So $\vec{v}=D\vec{r}$, for example.  The usual product rules for differentiation hold for both the dot and cross products:
We will, as far as we can, try to follow the convention of using the plain letter to denote the magnitude of a vector, i.e. $r$ is the magnitude of $\vec{r}$ and $v$ is the magnitude of $\vec{v}$.  However, $a$ will never denote the magnitude of $\vec{a}$: the former is the length of the semimajor axis of an ellipse; the latter is acceleration.  This will not cause any confusion.
Let us now return briefly to
As the magnitude of $\vec{L}$ is
we can think of $v\sin \theta$ as being the portion of the velocity that is perpendicular to $\vec{r}$.  This will be useful at a crucial moment.

Calculating Orbits: Deriving Kepler’s Laws

Deriving Kepler’s Laws

The purpose of what remains is to derive Kepler’s Laws from physics, that is to say, Newton’s Laws.  My only contribution to this, if any, is extracting the results from (Spaceflight Dynamics, William E. Wiesel, third edition).  This is an “extraction” rather than an “exposition” as Wiesel is doing quite a few other worthwhile things at the same time he is deriving Kepler’s Laws.  My aim is to put the focus on the derivation of Kepler’s Laws themselves.
On a personal note, let me say I have approached this from a mathematician’s point of view, but I only made progress when I came to the understanding that this is physics.  However much mathematicians would like to claim him, Newton was a physicist.

I’ve found a couple of different approaches in the literature--(Wiesel) and (The Sheer Joy of Celestial Mechanics, Nathaniel Grossman)--and have chosen to follow (Wiesel) because it simply has a better “feel to it.”